Официальное опубликование правовых актов
ОФИЦИАЛЬНОЕ ОПУБЛИКОВАНИЕ
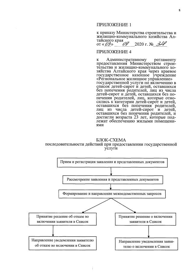
Приказ Министерства строительства и жилищно-коммунального хозяйства Алтайского края от 03.09.2020 № 328
"О внесении изменений в приказ Министерства строительства, транспорта, жилищно-коммунального хозяйства Алтайского края от 27.08.2018 № 568"
Номер опубликования: 2201202009030015
Дата опубликования: 03.09.2020
Страница №8 из 10:
Увеличить