Официальное опубликование правовых актов
ОФИЦИАЛЬНОЕ ОПУБЛИКОВАНИЕ
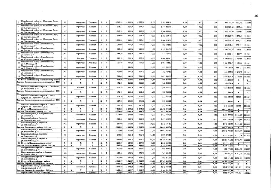
Приказ Министерства строительства и жилищно-коммунального хозяйства Алтайского края от 02.09.2020 № 325
"О внесении изменений в приказ Министерства строительства и жилищно-коммунального хозяйства Алтайского края от 30.08.2019 № 368"
Номер опубликования: 2201202009030010
Дата опубликования: 03.09.2020
Страница №26 из 73:
Увеличить