Официальное опубликование правовых актов
ОФИЦИАЛЬНОЕ ОПУБЛИКОВАНИЕ
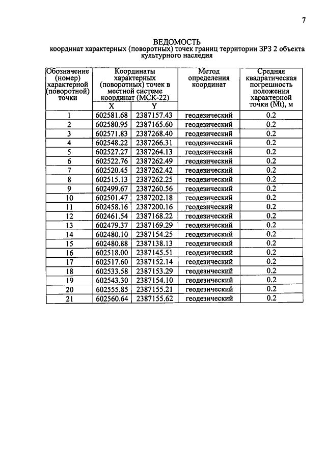
Приказ Управления государственной охраны объектов культурного наследия Алтайского края от 31.08.2020 № 748
"Об установлении зон охраны объекта культурного наследия регионального значения "Дом жилой", 1930 г., расположенного по адресу: Алтайский край, г. Барнаул, проезд 9 Мая, 5, утверждении режимов использования земель и требований к градостроительным регламентам в границах территорий данных зон"
Номер опубликования: 2201202009020004
Дата опубликования: 02.09.2020
Страница №7 из 16:
Увеличить