Официальное опубликование правовых актов
ОФИЦИАЛЬНОЕ ОПУБЛИКОВАНИЕ
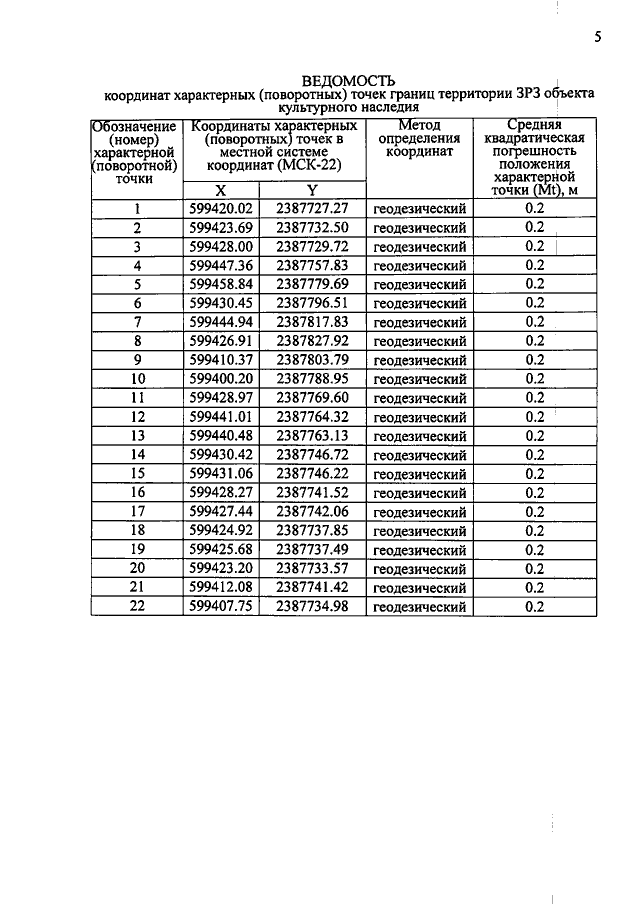
Приказ Управления государственной охраны объектов культурного наследия Алтайского края от 31.08.2020 № 751
"Об установлении зон охраны объекта культурного наследия регионального значения "Доходный дом Аверина", нач. ХХ в., расположенного по адресу: Алтайский край, г. Барнаул, ул. Гоголя, 76, утверждении режимов использования земель и требований к градостроительным регламентам в границах территорий данных зон"
Номер опубликования: 2201202009020002
Дата опубликования: 02.09.2020
Страница №5 из 12:
Увеличить