Официальное опубликование правовых актов
ОФИЦИАЛЬНОЕ ОПУБЛИКОВАНИЕ
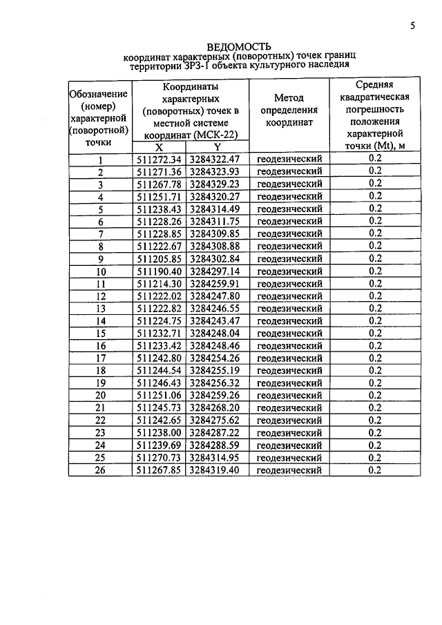
Приказ Управления государственной охраны объектов культурного наследия Алтайского края от 18.08.2020 № 705
"Об установлении зон охраны объекта культурного наследия регионального значения "Сибирский торговый банк", 1890 г., расположенного по адресу: Алтайский край, г. Бийск, ул. Советская, 5, утверждении режимов использования земель и требований к градостроительным регламентам в границах территорий данных зон"
Номер опубликования: 2201202008200019
Дата опубликования: 20.08.2020
Страница №5 из 12:
Увеличить