Официальное опубликование правовых актов
ОФИЦИАЛЬНОЕ ОПУБЛИКОВАНИЕ
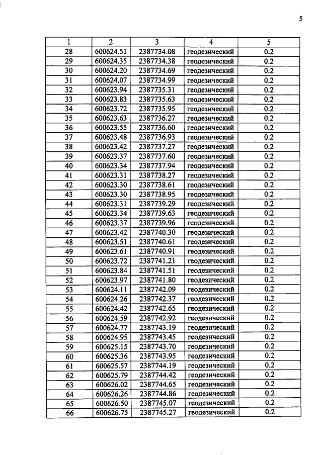
Приказ Управления государственной охраны объектов культурного наследия Алтайского края от 14.08.2020 № 694
"Об установлении зоны охраны объекта культурного наследия регионального значения "Гостиница", 1950 – е гг., расположенного по адресу: Алтайский край, г. Барнаул, просп. Ленина, 41 / ул. Чкалова, 64, утверждении режима использования земель и требований к градостроительным регламентам в границах территории данной зоны"
Номер опубликования: 2201202008200008
Дата опубликования: 20.08.2020
Страница №5 из 10:
Увеличить