Официальное опубликование правовых актов
ОФИЦИАЛЬНОЕ ОПУБЛИКОВАНИЕ
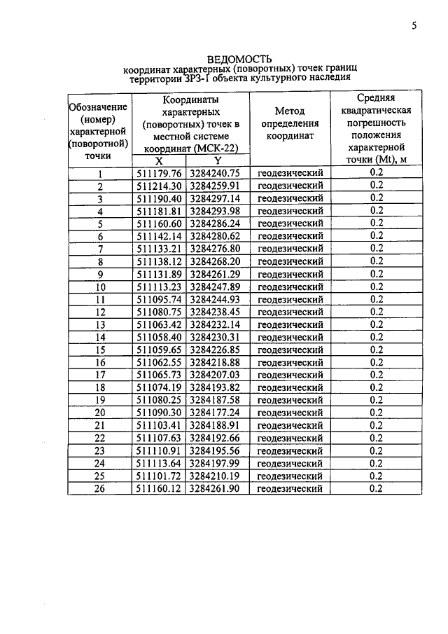
Приказ Управления государственной охраны объектов культурного наследия Алтайского края от 13.08.2020 № 686
"Об установлении зон охраны объекта культурного наследия регионального значения "Николаевская гимназия", 1906 г., расположенного по адресу: Алтайский край, г. Бийск, ул. Советская, 9, утверждении режимов использования земель и требований к градостроительным регламентам в границах территорий данных зон"
Номер опубликования: 2201202008140021
Дата опубликования: 14.08.2020
Страница №5 из 12:
Увеличить