Официальное опубликование правовых актов
ОФИЦИАЛЬНОЕ ОПУБЛИКОВАНИЕ
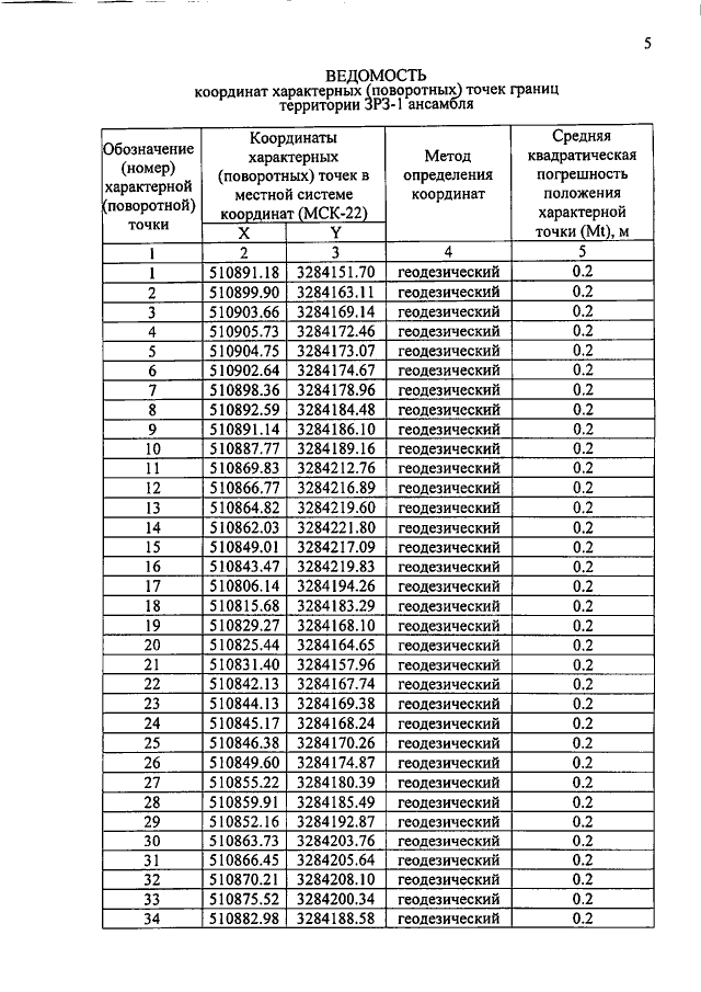
Приказ Управления государственной охраны объектов культурного наследия Алтайского края от 05.08.2020 № 653
"Об установлении зон охраны объекта культурного наследия регионального значения "Склады", 1910 г., расположенного по адресу: Алтайский край, г. Бийск, пер. Телеграфный, 2, 3, утверждении режимов использования земель и требований к градостроительным регламентам в границах территорий данных зон"
Номер опубликования: 2201202008060008
Дата опубликования: 06.08.2020
Страница №5 из 13:
Увеличить