Официальное опубликование правовых актов
ОФИЦИАЛЬНОЕ ОПУБЛИКОВАНИЕ
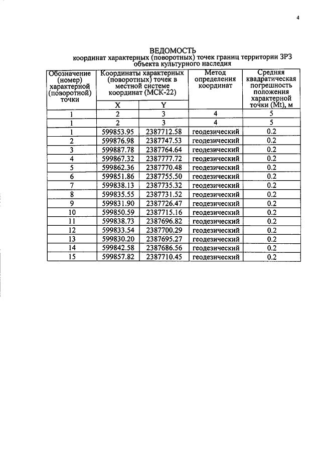
Приказ Управления государственной охраны объектов культурного наследия Алтайского края от 20.07.2020 № 608
"Об установлении зоны охраны объекта культурного наследия регионального значения "Жилой дом (деревянный)", конец ХIХ в. – нач. XX в., расположенного по адресу: Алтайский край, г. Барнаул, ул. Анатолия, 100, утверждении режима использования земель и требований к градостроительным регламентам в границах территории данной зоны"
Номер опубликования: 2201202007220022
Дата опубликования: 22.07.2020
Страница №4 из 8:
Увеличить