Официальное опубликование правовых актов
ОФИЦИАЛЬНОЕ ОПУБЛИКОВАНИЕ
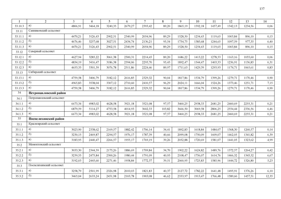
Решение Управления Алтайского края по государственному регулированию цен и тарифов от 08.07.2020 № 72
"О внесении изменений в решение управления Алтайского края по государственному регулированию цен и тарифов от 27.12.2019 № 590"
Номер опубликования: 2201202007090009
Дата опубликования: 09.07.2020
Страница №137 из 227:
Увеличить