Официальное опубликование правовых актов
ОФИЦИАЛЬНОЕ ОПУБЛИКОВАНИЕ
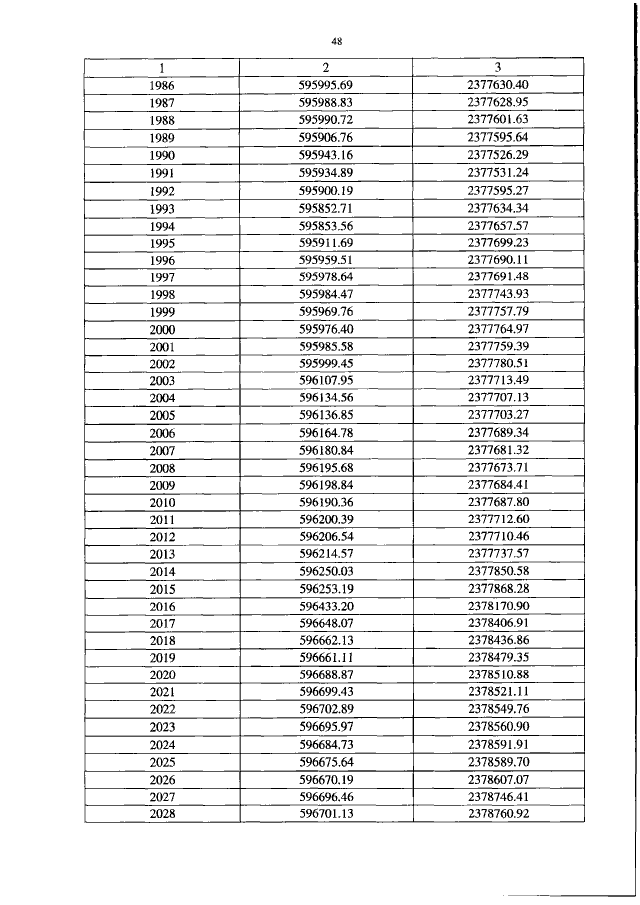
Приказ Министерства природных ресурсов и экологии Алтайского края от 06.07.2020 № 765
"Об установлении границ лесопаркового зеленого пояса города Барнаула"
Номер опубликования: 2201202007070001
Дата опубликования: 07.07.2020
Страница №48 из 62:
Увеличить