Официальное опубликование правовых актов
ОФИЦИАЛЬНОЕ ОПУБЛИКОВАНИЕ
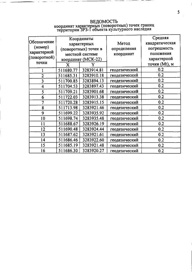
Приказ Управления государственной охраны объектов культурного наследия Алтайского края от 26.06.2020 № 552
"Об установлении зон охраны объекта культурного наследия регионального значения "Жилой дом", 1903 г., расположенного по адресу: Алтайский край, г. Бийск, ул. Заводская, 92, утверждении режимов использования земель и требований к градостроительным регламентам в границах территорий данных зон"
Номер опубликования: 2201202006300012
Дата опубликования: 30.06.2020
Страница №5 из 12:
Увеличить