Официальное опубликование правовых актов
ОФИЦИАЛЬНОЕ ОПУБЛИКОВАНИЕ
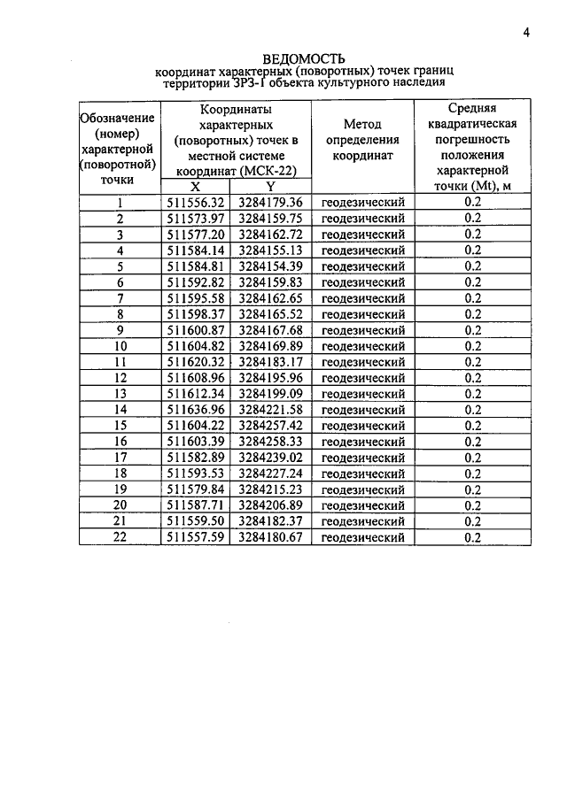
Приказ Управления государственной охраны объектов культурного наследия Алтайского края от 08.06.2020 № 491
"Об установлении зоны охраны объекта культурного наследия регионального значения "Жилой дом", 1889 г., расположенного по адресу: Алтайский край, г. Бийск, ул. Льва Толстого, 140, утверждении режима использования земель и требований к градостроительным регламентам в границах территории данной зоны"
Номер опубликования: 2201202006090004
Дата опубликования: 09.06.2020
Страница №4 из 8:
Увеличить