Официальное опубликование правовых актов
ОФИЦИАЛЬНОЕ ОПУБЛИКОВАНИЕ
Приказ Министерства культуры Алтайского края от 26.05.2020 № 152
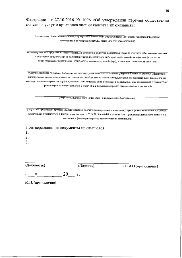
"Об утверждении административного регламента предоставления государственной услуги "Оценка качества оказания общественно полезных услуг социально ориентированной некоммерческой организацией на территории Алтайского края в сфере, относящейся к компетенции Министерства культуры Алтайского края"
Номер опубликования: 2201202005280001
Дата опубликования: 28.05.2020
Страница №30 из 32:
Увеличить