Официальное опубликование правовых актов
ОФИЦИАЛЬНОЕ ОПУБЛИКОВАНИЕ
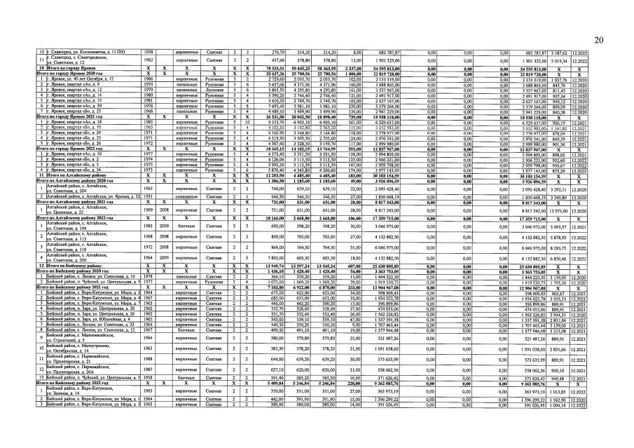
Приказ Министерства строительства и жилищно-коммунального хозяйства Алтайского края от 15.05.2020 № 165
"О внесении изменений в приказ Министерства строительства и жилищно-коммунального хозяйства Алтайского края от 30.08.2019 № 368"
Номер опубликования: 2201202005150005
Дата опубликования: 15.05.2020
Страница №20 из 75:
Увеличить