Официальное опубликование правовых актов
ОФИЦИАЛЬНОЕ ОПУБЛИКОВАНИЕ
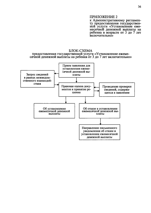
Приказ Министерства социальной защиты Алтайского края от 30.04.2020 № 27/Пр/149
"Об утверждении Административного регламента предоставления государственной услуги "Установление ежемесячной денежной выплаты на ребенка в возрасте от 3 до 7 лет включительно"
Номер опубликования: 2201202005060001
Дата опубликования: 06.05.2020
Страница №36 из 36:
Увеличить