Официальное опубликование правовых актов
ОФИЦИАЛЬНОЕ ОПУБЛИКОВАНИЕ
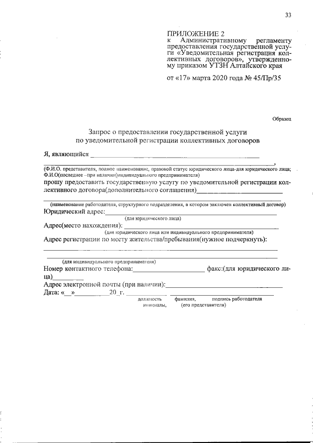
Приказ Управления Алтайского края по труду и занятости населения от 17.03.2020 № 45/Пр/35
"Об утверждении Административного регламента предоставления государственной услуги "Уведомительная регистрация коллективных договоров"
Номер опубликования: 2201202003180033
Дата опубликования: 18.03.2020
Страница №33 из 38:
Увеличить