Официальное опубликование правовых актов
ОФИЦИАЛЬНОЕ ОПУБЛИКОВАНИЕ
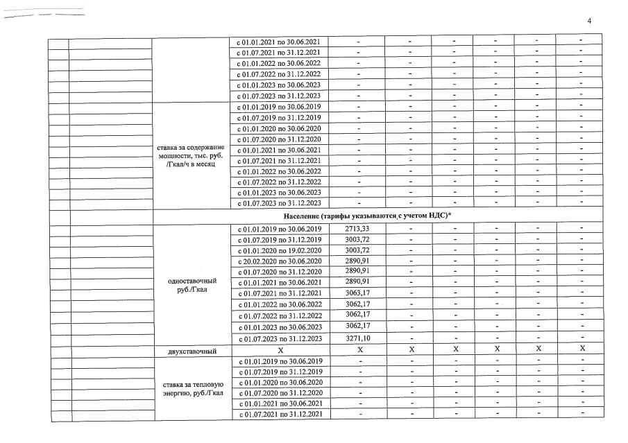
Решение Управления Алтайского края по государственному регулированию цен и тарифов от 28.02.2020 № 14
"О внесении изменений в решение управления Алтайского края по государственному регулированию цен и тарифов от 27.11.2018 № 331"
Номер опубликования: 2201202003020005
Дата опубликования: 02.03.2020
Страница №4 из 5:
Увеличить