Официальное опубликование правовых актов
ОФИЦИАЛЬНОЕ ОПУБЛИКОВАНИЕ
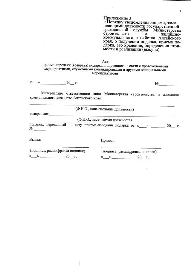
Приказ Министерства строительства и жилищно-коммунального хозяйства Алтайского края от 23.01.2020 № 14
"Об утверждении Порядка уведомления лицами, замещающими должности государственной гражданской службы Министерства строительства и жилищно-коммунального хозяйства Алтайского края, о получении подарка, приема подарка, его хранения, определения стоимости и реализации (выкупа)"
Номер опубликования: 2201202001240001
Дата опубликования: 24.01.2020
Страница №7 из 8:
Увеличить