Официальное опубликование правовых актов
ОФИЦИАЛЬНОЕ ОПУБЛИКОВАНИЕ
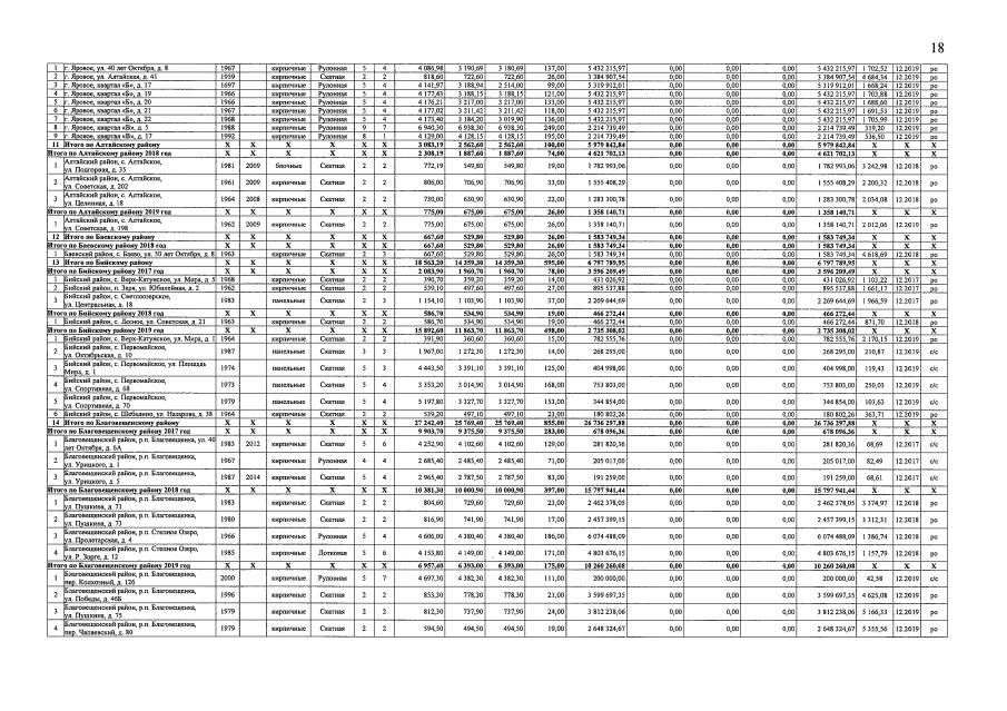
Приказ Министерства строительства и жилищно-коммунального хозяйства Алтайского края от 30.12.2019 № 590
"О внесении изменений в приказ Главного управления строительства, транспорта, жилищно-коммунального и дорожного хозяйства Алтайского края от 19.10.2016 № 517"
Номер опубликования: 2201201912300023
Дата опубликования: 30.12.2019
Страница №18 из 56:
Увеличить