Официальное опубликование правовых актов
ОФИЦИАЛЬНОЕ ОПУБЛИКОВАНИЕ
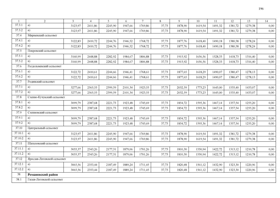
Решение Управления Алтайского края по государственному регулированию цен и тарифов от 27.12.2019 № 590
"Об установлении размеров краевых стандартов стоимости жилищно-коммунальных услуг на территории Алтайского края на 2020 год"
Номер опубликования: 2201201912300013
Дата опубликования: 30.12.2019
Страница №196 из 221:
Увеличить