Официальное опубликование правовых актов
ОФИЦИАЛЬНОЕ ОПУБЛИКОВАНИЕ
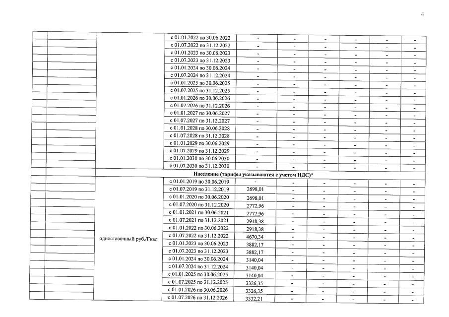
Решение Управления Алтайского края по государственному регулированию цен и тарифов от 27.12.2019 № 593
"Об установлении тарифов на тепловую энергию, поставляемую обществом с ограниченной ответственностью "Сибирская тепловая производственная компания" потребителям Косихинского района Алтайского края, на 2019–2030 годы"
Номер опубликования: 2201201912300009
Дата опубликования: 30.12.2019
Страница №4 из 6:
Увеличить