Официальное опубликование правовых актов
ОФИЦИАЛЬНОЕ ОПУБЛИКОВАНИЕ
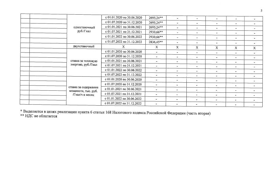
Решение Управления Алтайского края по государственному регулированию цен и тарифов от 20.12.2019 № 577
"Об установлении тарифов на тепловую энергию, поставляемую Муниципальным унитарным предприятием "Многоотраслевое объединение коммунального хозяйства" потребителям Ключевского района Алтайского края, на 2020–2022 годы"
Номер опубликования: 2201201912240013
Дата опубликования: 24.12.2019
Страница №5 из 5:
Увеличить