Решение Управления Алтайского края по государственному регулированию цен и тарифов от 20.12.2019 № 545
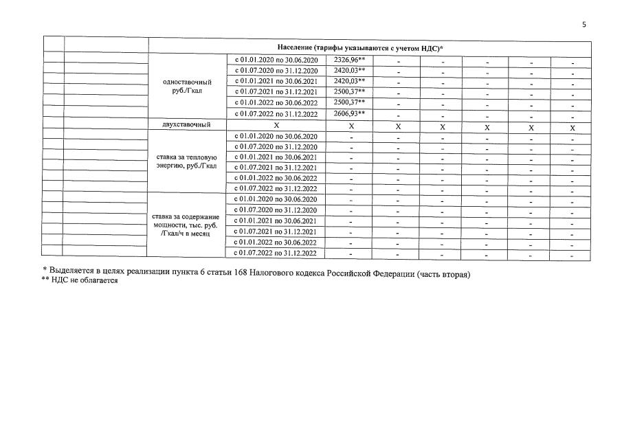
"Об установлении тарифов на тепловую энергию, поставляемую муниципальным унитарным предприятием "Энергетик" Бийского района Алтайского края потребителям Бийского района Алтайского края, на 2020–2022 годы"
"Об установлении тарифов на тепловую энергию, поставляемую муниципальным унитарным предприятием "Энергетик" Бийского района Алтайского края потребителям Бийского района Алтайского края, на 2020–2022 годы"
Номер опубликования: 2201201912230027
Дата опубликования:
23.12.2019
