Официальное опубликование правовых актов
ОФИЦИАЛЬНОЕ ОПУБЛИКОВАНИЕ
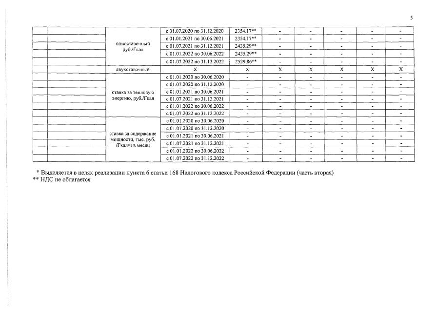
Решение Управления Алтайского края по государственному регулированию цен и тарифов от 19.12.2019 № 519
"Об установлении тарифов на тепловую энергию, поставляемую Муниципальным унитарным предприятием теплоснабжения "Гилёвское" потребителям Локтевского района Алтайского края, на 2020–2022 годы"
Номер опубликования: 2201201912230002
Дата опубликования: 23.12.2019
Страница №5 из 5:
Увеличить