Официальное опубликование правовых актов
ОФИЦИАЛЬНОЕ ОПУБЛИКОВАНИЕ
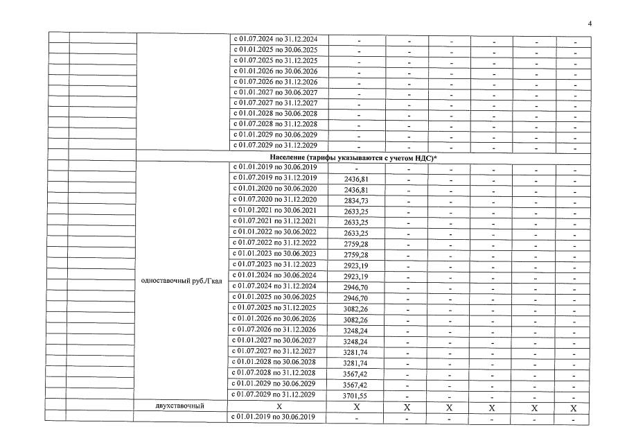
Решение Управления Алтайского края по государственному регулированию цен и тарифов от 17.12.2019 № 474
"Об установлении тарифов на тепловую энергию, поставляемую Обществом с ограниченной ответственностью "Наш дом" потребителям Ребрихинского района Алтайского края, на 2019–2029 годы"
Номер опубликования: 2201201912180010
Дата опубликования: 18.12.2019
Страница №4 из 6:
Увеличить