Официальное опубликование правовых актов
ОФИЦИАЛЬНОЕ ОПУБЛИКОВАНИЕ
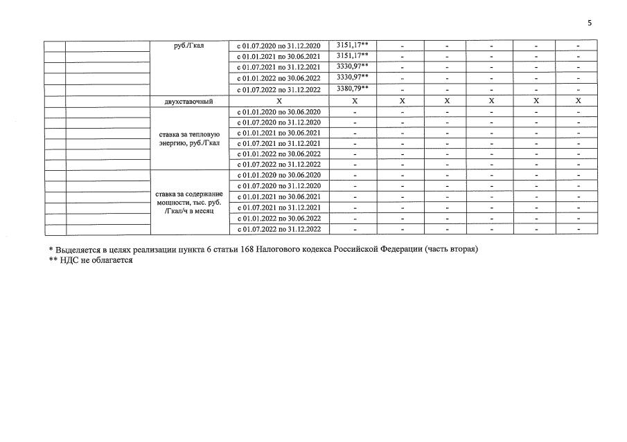
Решение Управления Алтайского края по государственному регулированию цен и тарифов от 12.12.2019 № 456
"Об установлении тарифов на тепловую энергию, поставляемую Муниципальным унитарным предприятием Чарышского района "Чарышское тепло" потребителям Чарышского района Алтайского края, на 2020–2022 годы"
Номер опубликования: 2201201912130007
Дата опубликования: 13.12.2019
Страница №5 из 5:
Увеличить