Официальное опубликование правовых актов
ОФИЦИАЛЬНОЕ ОПУБЛИКОВАНИЕ
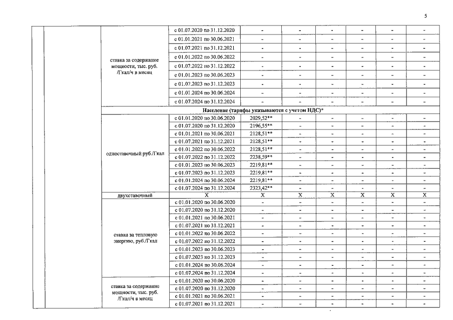
Решение Управления Алтайского края по государственному регулированию цен и тарифов от 12.12.2019 № 459
"Об установлении тарифов на тепловую энергию, поставляемую Муниципальным унитарным предприятием, основанным на праве хозяйственного ведения "Комсомольские коммунальные сети" потребителям Павловского района Алтайского края, на 2020–2024 годы"
Номер опубликования: 2201201912130006
Дата опубликования: 13.12.2019
Страница №5 из 6:
Увеличить