Решение Управления Алтайского края по государственному регулированию цен и тарифов от 12.12.2019 № 457
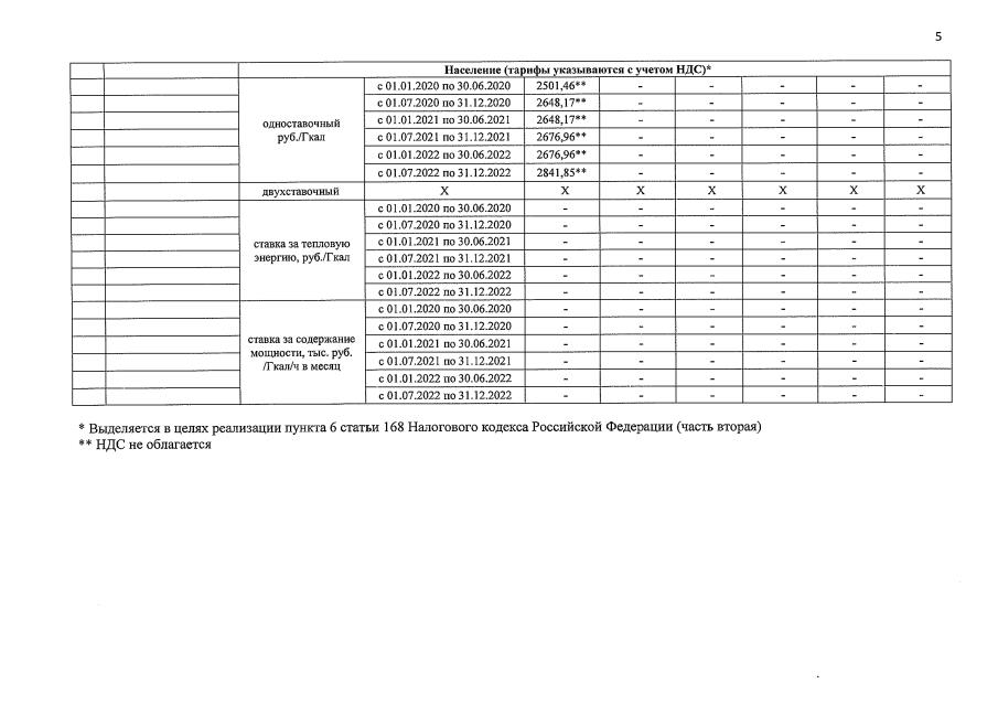
"Об установлении тарифов на тепловую энергию, поставляемую Муниципальным унитарным предприятием "ЖКХ Мамонтовское" потребителям Мамонтовского района Алтайского края, на 2020–2022 годы"
"Об установлении тарифов на тепловую энергию, поставляемую Муниципальным унитарным предприятием "ЖКХ Мамонтовское" потребителям Мамонтовского района Алтайского края, на 2020–2022 годы"
Номер опубликования: 2201201912130004
Дата опубликования:
13.12.2019
