Официальное опубликование правовых актов
ОФИЦИАЛЬНОЕ ОПУБЛИКОВАНИЕ
Решение Управления Алтайского края по государственному регулированию цен и тарифов от 12.12.2019 № 460
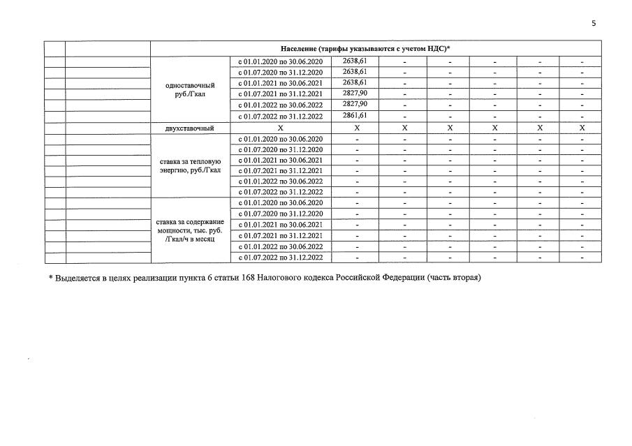
"Об установлении тарифов на тепловую энергию, поставляемую муниципальным унитарным предприятием "Старт" Третьяковского района Алтайского края потребителям Третьяковского района Алтайского края, на 2020–2022 годы"
Номер опубликования: 2201201912130001
Дата опубликования: 13.12.2019
Страница №5 из 5:
Увеличить