Официальное опубликование правовых актов
ОФИЦИАЛЬНОЕ ОПУБЛИКОВАНИЕ
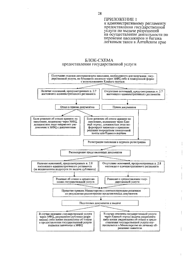
Приказ Министерства транспорта Алтайского края от 11.12.2019 № 333
"Об утверждении административного регламента предоставления государственной услуги по выдаче разрешений на осуществление деятельности по перевозке пассажиров и багажа легковым такси в Алтайском крае"
Номер опубликования: 2201201912120016
Дата опубликования: 12.12.2019
Страница №28 из 34:
Увеличить