Официальное опубликование правовых актов
ОФИЦИАЛЬНОЕ ОПУБЛИКОВАНИЕ
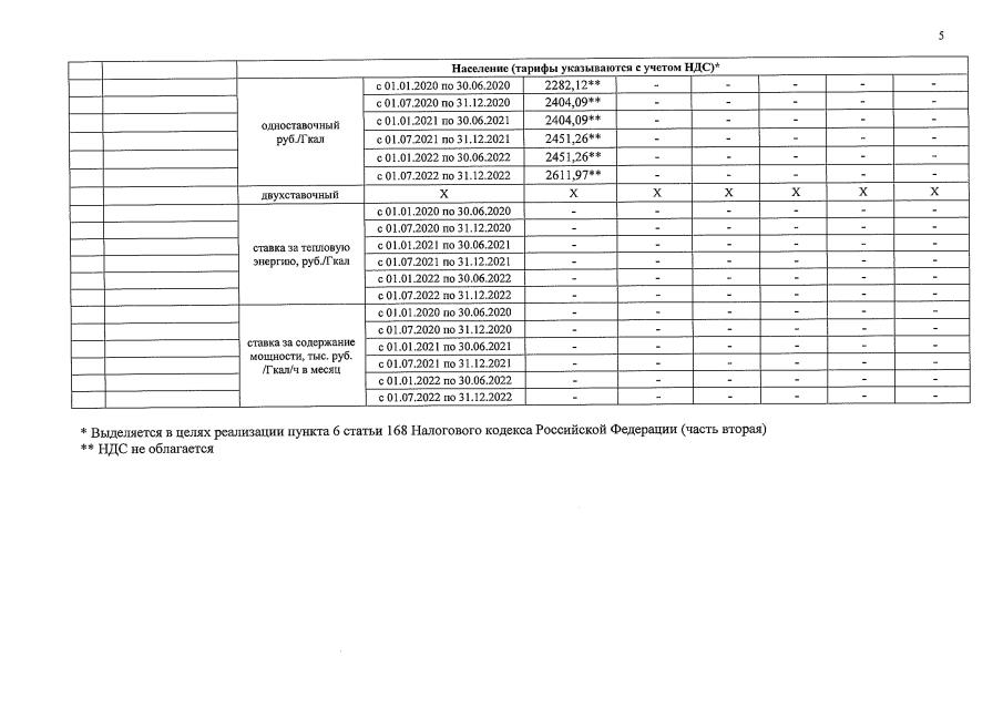
Решение Управления Алтайского края по государственному регулированию цен и тарифов от 10.12.2019 № 446
"Об установлении тарифов на тепловую энергию, поставляемую муниципальным унитарным предприятием "Краснощёковские водопроводные сети" потребителям Краснощёковского района Алтайского края, на 2020–2022 годы"
Номер опубликования: 2201201912110014
Дата опубликования: 11.12.2019
Страница №5 из 5:
Увеличить