Официальное опубликование правовых актов
ОФИЦИАЛЬНОЕ ОПУБЛИКОВАНИЕ
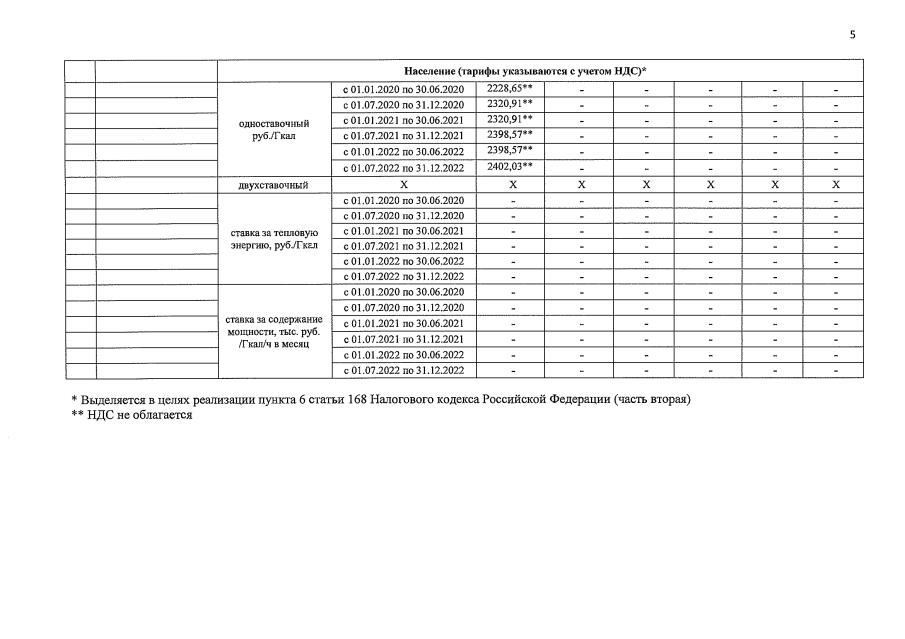
Решение Управления Алтайского края по государственному регулированию цен и тарифов от 05.12.2019 № 427
"Об установлении тарифов на тепловую энергию, поставляемую муниципальным унитарным предприятием "Тепло" Шелаболихинского района Алтайского края потребителям Шелаболихинского района Алтайского края, на 2020–2022 годы"
Номер опубликования: 2201201912060001
Дата опубликования: 06.12.2019
Страница №5 из 5:
Увеличить