Решение Управления Алтайского края по государственному регулированию цен и тарифов от 04.12.2019 № 403
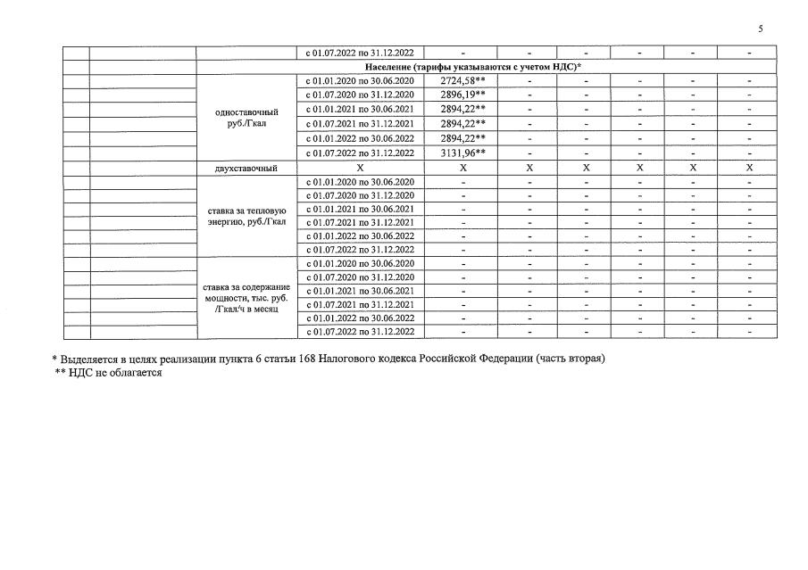
"Об установлении тарифов на тепловую энергию, поставляемую муниципальным унитарным предприятием Усть-Калманского района "Усть-Калманское жилищно-коммунальное хозяйство" потребителям Усть-Калманского района Алтайского края, на 2020–2022 годы"
"Об установлении тарифов на тепловую энергию, поставляемую муниципальным унитарным предприятием Усть-Калманского района "Усть-Калманское жилищно-коммунальное хозяйство" потребителям Усть-Калманского района Алтайского края, на 2020–2022 годы"
Номер опубликования: 2201201912050006
Дата опубликования:
05.12.2019
