Официальное опубликование правовых актов
ОФИЦИАЛЬНОЕ ОПУБЛИКОВАНИЕ
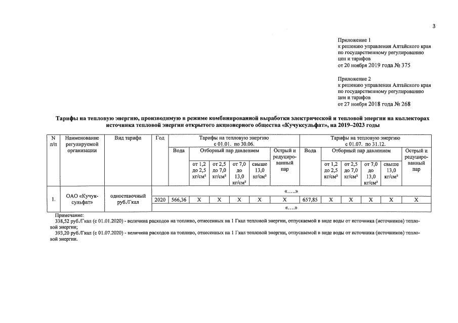
Решение Управления Алтайского края по государственному регулированию цен и тарифов от 20.11.2019 № 375
"О корректировке тарифов на тепловую энергию, производимую в режиме комбинированной выработки электрической и тепловой энергии на коллекторах источника тепловой энергии открытого акционерного общества "Кучуксульфат", на 2020 год"
Номер опубликования: 2201201911210015
Дата опубликования: 21.11.2019
Страница №3 из 4:
Увеличить