Официальное опубликование правовых актов
ОФИЦИАЛЬНОЕ ОПУБЛИКОВАНИЕ
Приказ Министерства транспорта Алтайского края от 15.11.2019 № 306
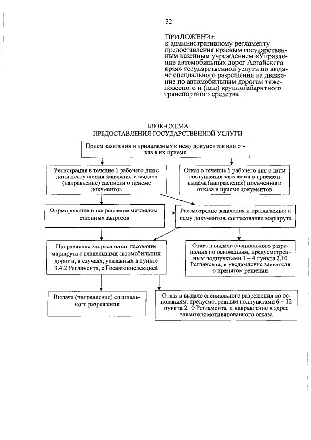
"Об утверждении административного регламента предоставления краевым государственным казенным учреждением "Управление автомобильных дорог Алтайского края" государственной услуги по выдаче специального разрешения на движение по автомобильным дорогам тяжеловесного и (или) крупногабаритного транспортного средства"
Номер опубликования: 2201201911180009
Дата опубликования: 18.11.2019
Страница №32 из 32:
Увеличить