Официальное опубликование правовых актов
ОФИЦИАЛЬНОЕ ОПУБЛИКОВАНИЕ
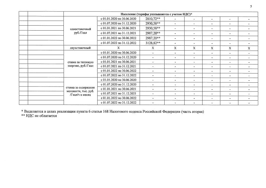
Решение Управления Алтайского края по государственному регулированию цен и тарифов от 23.10.2019 № 269
"Об установлении тарифов на тепловую энергию, поставляемую муниципальным унитарным предприятием "Теплосервис Угловского района" потребителям Угловского района Алтайского края, на 2020–2022 годы"
Номер опубликования: 2201201910240029
Дата опубликования: 24.10.2019
Страница №5 из 5:
Увеличить