Официальное опубликование правовых актов
ОФИЦИАЛЬНОЕ ОПУБЛИКОВАНИЕ
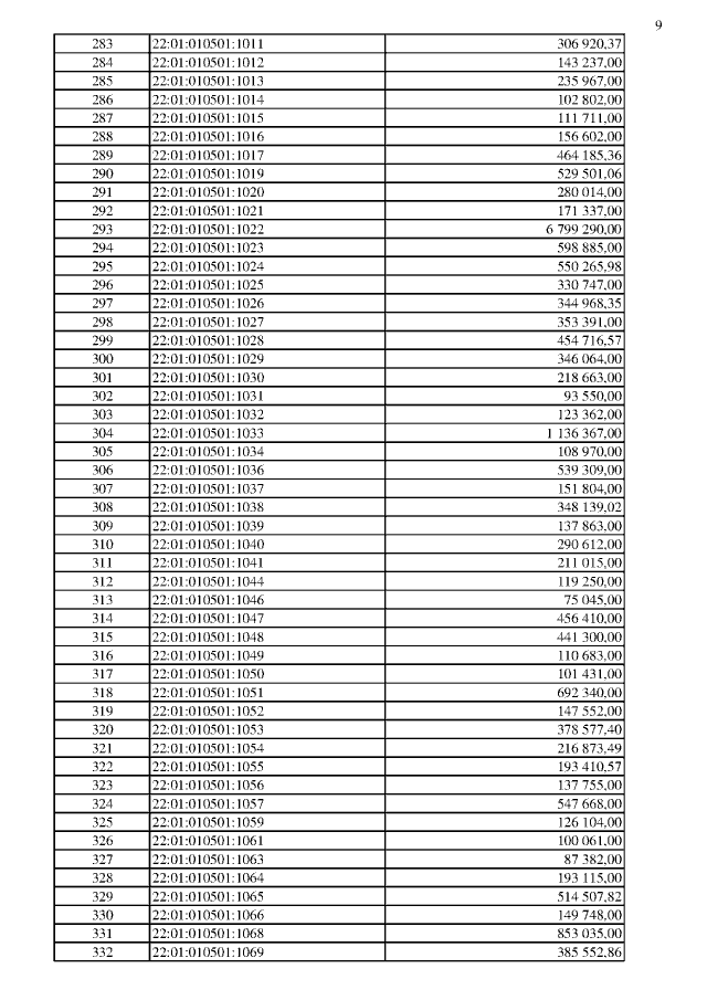
Приказ Управления имущественных отношений Алтайского края от 11.10.2019 № 97
"Об утверждении результатов определения кадастровой стоимости объектов недвижимости на территории Алтайского края"
Номер опубликования: 2201201910170032
Дата опубликования: 17.10.2019
Страница №9 из 33632:
Увеличить