Официальное опубликование правовых актов
ОФИЦИАЛЬНОЕ ОПУБЛИКОВАНИЕ
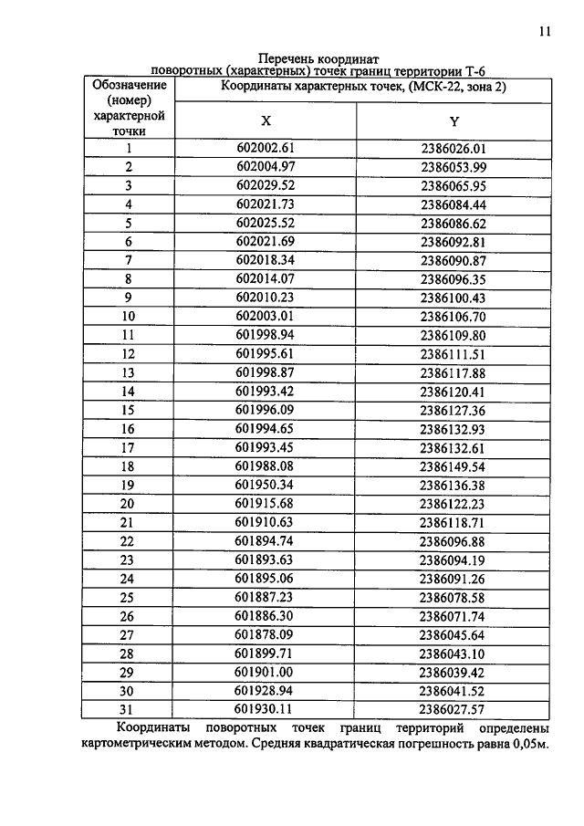
Приказ Управления государственной охраны объектов культурного наследия Алтайского края от 10.09.2019 № 207
"Об утверждении границ территории и режима использования территории объекта культурного наследия"
Номер опубликования: 2201201909120001
Дата опубликования: 12.09.2019
Страница №11 из 25:
Увеличить