Официальное опубликование правовых актов
ОФИЦИАЛЬНОЕ ОПУБЛИКОВАНИЕ
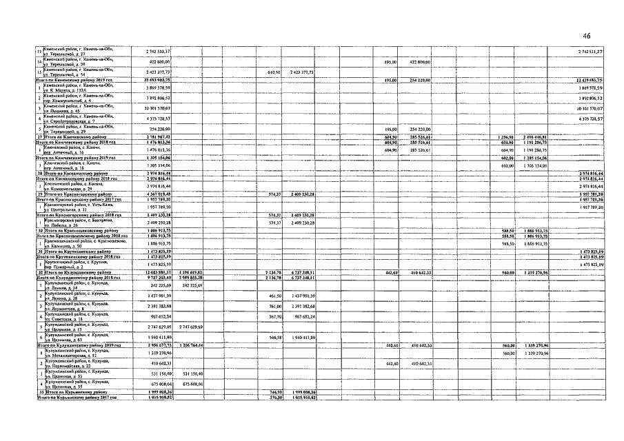
Приказ Министерства строительства и жилищно-коммунального хозяйства Алтайского края от 04.09.2019 № 374
"О внесении изменений в приказ Главного управления строительства, транспорта, жилищно-коммунального и дорожного хозяйства Алтайского края от 19.10.2016 № 517"
Номер опубликования: 2201201909050005
Дата опубликования: 05.09.2019
Страница №46 из 53:
Увеличить