Официальное опубликование правовых актов
ОФИЦИАЛЬНОЕ ОПУБЛИКОВАНИЕ
Приказ Министерства строительства и жилищно-коммунального хозяйства Алтайского края от 30.08.2019 № 368
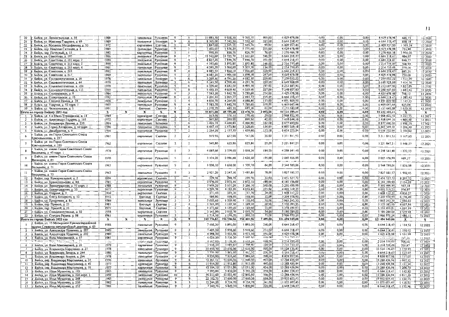
"Об утверждении краткосрочного плана реализации в 2020 –2022 годах краевой программы "Капитальный ремонт общего имущества в многоквартирных домах, расположенных на территории Алтайского края" на 2014 – 2043 годы"
Номер опубликования: 2201201909050004
Дата опубликования: 05.09.2019
Страница №11 из 78:
Увеличить