Официальное опубликование правовых актов
ОФИЦИАЛЬНОЕ ОПУБЛИКОВАНИЕ
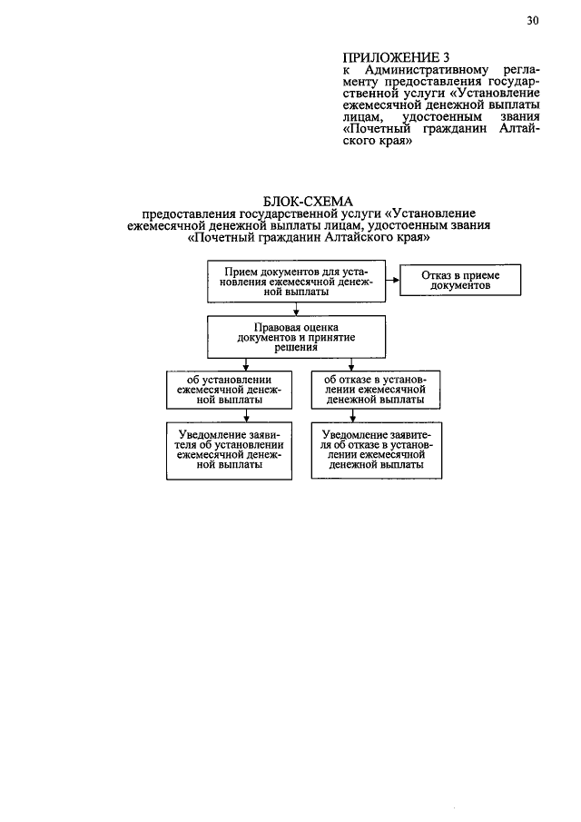
Приказ Министерства социальной защиты Алтайского края от 02.09.2019 № 27/Пр/304
"О внесении изменения в приказ Министерства труда и социальной защиты Алтайского края от 28.12.2017 № 607"
Номер опубликования: 2201201909020005
Дата опубликования: 02.09.2019
Страница №30 из 30:
Увеличить