Официальное опубликование правовых актов
ОФИЦИАЛЬНОЕ ОПУБЛИКОВАНИЕ
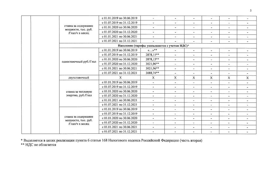
Решение Управления Алтайского края по государственному регулированию цен и тарифов от 31.07.2019 № 115
"О пересмотре тарифов на тепловую энергию, поставляемую муниципальным унитарным предприятием "Завьяловские коммунальные системы" Завьяловского района Алтайского края потребителям Завьяловского района Алтайского края, на 2019−2021 годы"
Номер опубликования: 2201201907310009
Дата опубликования: 31.07.2019
Страница №5 из 5:
Увеличить