Официальное опубликование правовых актов
ОФИЦИАЛЬНОЕ ОПУБЛИКОВАНИЕ
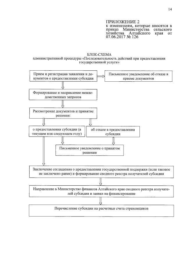
Приказ Министерства сельского хозяйства Алтайского края от 25.07.2019 № 100
"О внесении изменений в приказ Министерства сельского хозяйства Алтайского края от 07.06.2017 № 126"
Номер опубликования: 2201201907260001
Дата опубликования: 26.07.2019
Страница №14 из 40:
Увеличить