Официальное опубликование правовых актов
ОФИЦИАЛЬНОЕ ОПУБЛИКОВАНИЕ
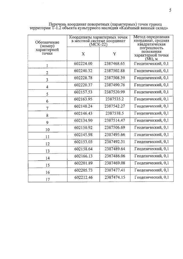
Приказ Управления государственной охраны объектов культурного наследия Алтайского края от 23.07.2019 № 170
"О внесении изменений в приказ об утверждении границ территории и режима использования территории объекта культурного наследия регионального значения от 13.11.2018 № 133"
Номер опубликования: 2201201907240005
Дата опубликования: 24.07.2019
Страница №5 из 7:
Увеличить