Официальное опубликование правовых актов
ОФИЦИАЛЬНОЕ ОПУБЛИКОВАНИЕ
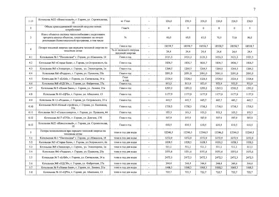
Приказ Министерства строительства, транспорта, жилищно-коммунального хозяйства Алтайского края от 20.12.2018 № 966
"Об утверждении инвестиционной программы ООО "Тепловые системы" г.Горняк Локтевского района Алтайского края по реконструкции (модернизации) объектов теплоснабжения на 2019 – 2023"
Номер опубликования: 2201201812240006
Дата опубликования: 24.12.2018
Страница №7 из 13:
Увеличить