Официальное опубликование правовых актов
ОФИЦИАЛЬНОЕ ОПУБЛИКОВАНИЕ
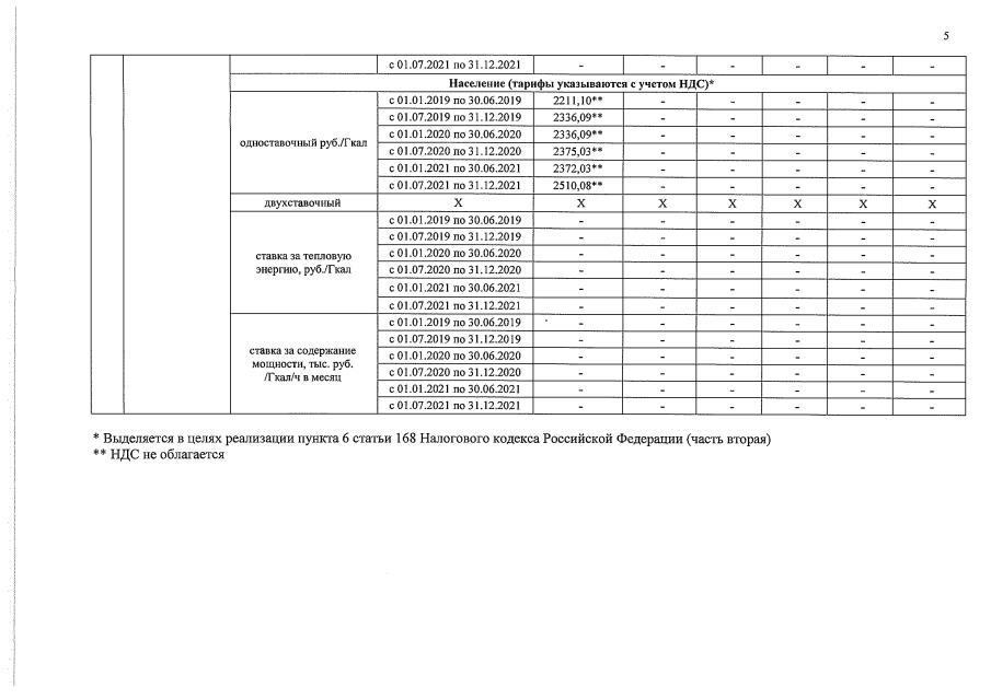
Решение Управления Алтайского края по государственному регулированию цен и тарифов от 13.12.2018 № 501
"Об установлении тарифов на тепловую энергию, поставляемую муниципальным унитарным предприятием "Теплоцентраль" Панкрушихинского района Алтайского края потребителям Панкрушихинского района Алтайского края, на 2019–2021 годы"
Номер опубликования: 2201201812170029
Дата опубликования: 17.12.2018
Страница №5 из 5:
Увеличить