Официальное опубликование правовых актов
ОФИЦИАЛЬНОЕ ОПУБЛИКОВАНИЕ
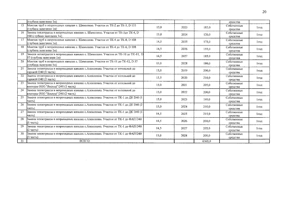
Приказ Министерства строительства, транспорта, жилищно-коммунального хозяйства Алтайского края от 07.12.2018 № 929
"Об утверждении инвестиционной программы ООО "Вода" Благовещенского района по реконструкции (модернизации) объектов теплоснабжения в с. Николаевка, с. Шимолино, с. Алексеевка на 2019 – 2028 годы"
Номер опубликования: 2201201812100028
Дата опубликования: 10.12.2018
Страница №20 из 21:
Увеличить