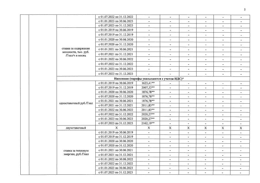
Решение Управления Алтайского края по государственному регулированию цен и тарифов от 06.12.2018 № 450
"Об установлении тарифов на тепловую энергию, поставляемую муниципальным унитарным предприятием Заводского сельсовета Тюменцевского района Алтайского края "Коммунальное хозяйство" потребителям Тюменцевского района Алтайского края, на 2019–2023 годы"
"Об установлении тарифов на тепловую энергию, поставляемую муниципальным унитарным предприятием Заводского сельсовета Тюменцевского района Алтайского края "Коммунальное хозяйство" потребителям Тюменцевского района Алтайского края, на 2019–2023 годы"
Номер опубликования: 2201201812100016
Дата опубликования:
10.12.2018
