Официальное опубликование правовых актов
ОФИЦИАЛЬНОЕ ОПУБЛИКОВАНИЕ
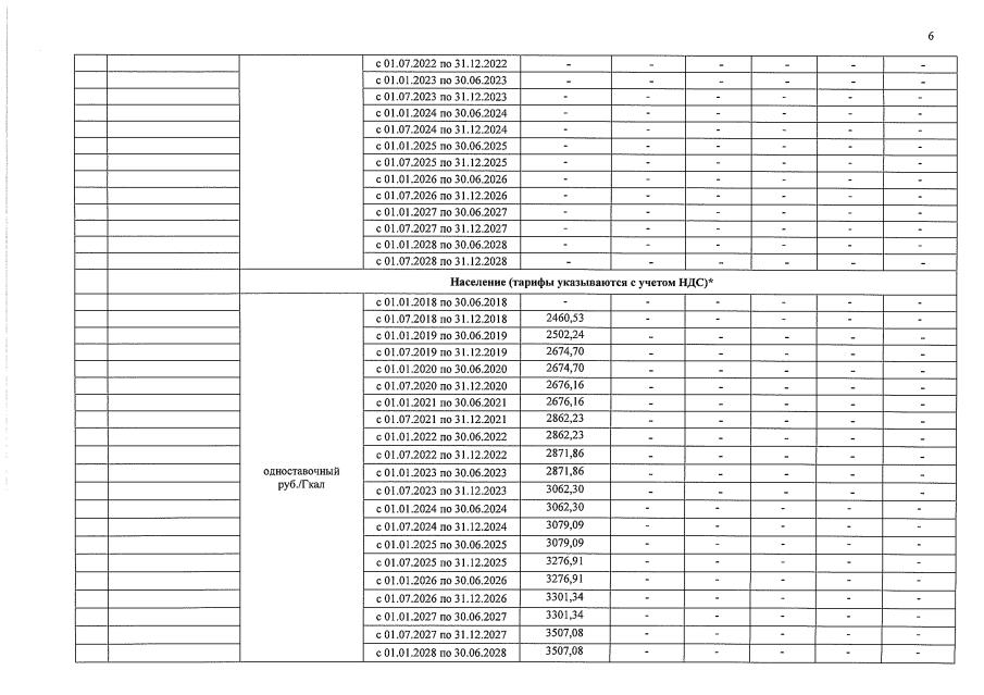
Решение Управления Алтайского края по государственному регулированию цен и тарифов от 06.12.2018 № 455
"Об установлении тарифов на тепловую энергию, поставляемую обществом с ограниченной ответственностью "ТЕМП" потребителям Тальменского района Алтайского края, на 2018–2028 годы"
Номер опубликования: 2201201812100010
Дата опубликования: 10.12.2018
Страница №6 из 8:
Увеличить